Python独習!

習得したPython知識をペイフォワード

Openpyxl

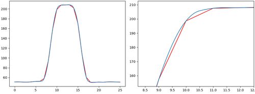
Pythonでグラフのプロットとプロットの間の値を読み取る

実験で〇〇を測定したけど測定間隔が粗かった。データとデータの間にある値が欲しんだけど… interpolateのスプライン補間でデータ数を増やす。※あくまでもデータの“補間”ですのでその意味をちゃんと理解してご使用ください。 解説 スプライン補間の詳細はグ…

/* -----codeの行番号----- */